Параллельный резонанс при источнике ЭДС
Добротность для параллельной схемы вычисляют по формуле Q=R√C/L. При равенстве частот (источника и контура) сопротивление в отдельных ветвях не различается. Одинаковые значения токов создают компенсированные реактивные параметры конденсатора и катушки.
При отклонении частоты от резонансного значения в нижний (верхний) диапазон сопротивление приобретает емкостной (индуктивный) характер, соответственно. В обычном рабочем цикле происходит энергетический обмен между реактивными элементами цепи. Этот режим характеризуется увеличением в Q раз тока, проходящего по внутреннему контуру, по сравнению с поступающим от источника ЭДС. Идеальные условия, когда добротность стремится к бесконечной величине, невозможны. Прямые и паразитные потери в цепях ограничивают рост силы резонансного тока.
При каких условиях возникает явление: основные условия
Резонанс электротоков и напряжений появляется в результате сохранения тождества реактивных характеристик сопротивляемости сети. Несмотря на это, в ней должна быть и активная характеристика хотя бы минимального значения. Частота же генератора питания соединения всегда должна совпадать с частотой резонанса контура индуктивно-емкостной сети.
Обратите внимание! Условие работы сопротивления активного типа в реальных действующих схемах выполняется практически всегда. Одна лишь реактивная характеристика емкости и индуктивности возможна только в изолированных и теоретических примерах
График и векторная диаграмма возникновения резонирования
Во время резонанса дроссель и конденсатор обмениваются накопленной энергией. В теоретических примерах, когда происходит первое подключение электрогенератора (в качестве питательного источника), энергия копится в катушке индуктивности или конденсаторе. После выключения электрогенератора из сети возникают колебания незатухающего характера, возникшие в результате этого обмена.
Применение резонансного явления
Резонанс в электрических цепях используют для фильтрации сигналов. Выбирают соответствующую схему обработки для ограничения необходимого диапазона либо расширения полосы пропускания.
С помощью последовательного контура можно повысить напряжение питания, если снабжающая организация не обеспечивает стабильность параметров сети. Такие неприятности встречаются при подключении потребителей на дачных участках и в коттеджных поселках, в сравнительно небольших населенных пунктах.
Недостаток ликвидируют конденсаторами, которые добавляют в электрическую цепь. Подобные решения помогают восстановить работоспособность дрели, станка, другого мощного оборудования. Обмотки соответствующего привода выполняют функции индуктивного компонента колебательного контура.
Параллельное подключение конденсаторов компенсирует потери, созданные реактивной мощностью. Этот вариант обеспечивает циркуляцию энергии между накопителем и подключенной обмоткой. Без такого дополнения часть энергии будет бесполезно потребляться сетью питания. Следует подчеркнуть, что счетчик в любом случае фиксирует потребление. Данная модернизация поможет сэкономить на оплате коммунальных услуг.
Резонансные явления способны чрезмерно увеличить силу тока или напряжение. Необходим точный расчет электрических цепей, чтобы предотвратить перегрев и повреждение проводов, короткие замыкания и другие аварийные ситуации.
Резонанс напряжений
Если последовательно с генератором соединить конденсатор и катушку индуктивности, то, при условии равенства их реактивных сопротивлений, возникнет резонанс напряжений. При этом активная часть Z должно быть как можно меньшей.
Стоит отметить, что индуктивность и емкость обладает только реактивными качествами лишь в идеализированных примерах. В реальных же цепях и элементах всегда присутствует активное сопротивление проводников, хоть оно и крайне мало.
При резонансе происходит обмен энергией между дросселем и конденсатором. В идеальных примерах при первоначальном подключении источника энергии (генератора) энергия накапливается в конденсаторе (или дросселе) и после его отключения происходят незатухающие колебания за счет этого обмена.
Напряжения на индуктивности и емкости примерно одинаковы, согласно :
U=I/X
Где X — это Xc емкостное или XL индуктивное сопротивление соответственно.
Цепь, состоящую из индуктивности и емкости, называют колебательным контуром. Его частота вычисляется по формуле:
Период колебаний определяется по формуле Томпсона:
Так как реактивное сопротивление зависит от частоты, то сопротивление индуктивности с ростом частоты увеличивается, а у ёмкости падает. Когда сопротивления равны, то общее сопротивление сильно снижается, что отражено на графике:
Основными характеристиками контура являются добротность (Q) и частота. Если рассмотреть контур в качестве четырехполюсника, то его коэффициент передачи после несложных вычислений сводится к добротности:
K=Q
А напряжение на выводах цепи увеличивается пропорционально коэффициенту передачи (добротности) контура.
Uк=Uвх*Q
При резонансе напряжений, чем выше добротность, тем больше напряжение на элементах контура будет превышать напряжение подключенного генератора. Напряжение может повышаться в десятки и сотни раз. Это отображено на графике:
Потери мощности в контуре обусловлены только наличием активного сопротивления. Энергия из источника питания берется только для поддержания колебаний.
Коэффициент мощности будет равен:
cosФ=1
Эта формула показывает, что потери происходят за счет активной мощности:
S=P/Cosф
RLC-цепь
Для уточнения процессов надо изучить особенности компонентов типовой RLC цепи. Если к источнику переменного тока подсоединить конденсатор, напряжение на его обмотках будет изменяться по аналогии с исходным сигналом. Для расчетов пользуются понятием емкостного сопротивления Xc, которое определяется формулой:
Xc = 1/2π * f * C,
где:
- f – частота;
- С – емкость.
По мере роста частоты увеличивается емкостное сопротивление, и уменьшается ток:
I = U/ Xc.
Этот элемент выполняет определенные ограничительные функции. Однако он не рассеивает энергию c преобразованием в тепло как обычное электрическое сопротивление R.
К сведению. Для упрощения здесь рассмотрена идеальная емкость. В действительности каждый электронный компонент создает активное сопротивление току, что в определенной ситуации сопровождается нагревом.
Для расчета влияния индуктивной составляющей применяют формулы:
- XL = 2π * f * L;
- I = U/XL;
- I = U/2π * f * L.
При подключении катушки к источнику питания образуется магнитное поле, которое препятствует прохождению тока. Формулы демонстрируют прямую зависимость сопротивления от частоты и значения индуктивности (L).
Как правильно рассчитать
Токовый резонанс очень важно правильно рассчитать, если есть параллельное соединение, предотвращающая появление помех около системы. Для правильного расчета необходимо понять, какие показатели мощности в электросети
Средняя стандартная мощность, рассеивающаяся при резонансном контуре, выражается при помощи среднеквадратичных токовых показателей и напряжения. При резонансе мощностный коэффициент равен единице и формула имеет вид, как на картинке.
Формула расчета
Чтобы правильно определить нулевой импеданс, понадобиться воспользоваться стандартной формулой, которая дана ниже.
Формула резонансных кривых
Что касается аппроксимирования резонанса колебательных частот, это можно выяснить по следующей формуле.
Расчет колебательного контура
Обратите внимание! Для получения максимально точных данных по приведенным формулам, округлять данные не нужно. Благодаря этому получится грамотный расчет, который приведет к достойной экономии переменного тока, если речь идет о подсчете в целях снижения счетов
В целом, резонанс токов — это то, что происходит в части параллельного колебательного контура, в случае его подключения к источнику напряжения, частота какого может совпадать с контурной. Возникает при условиях, когда цепь, имеющая параллельное соединение резисторной катушки и конденсатора, равна проводимости BL=BC. Правильно сделать весь необходимый подсчет можно по специальной формуле или, прибегая к использованию специальных измерительных инструментов в виде мультиметра.
Резонанс в распределённых колебательных системах, нелинейные процессы
Общим понятием для всех явлений данной категории можно назвать действенную связь с окружающей средой. В механических системах влияние на амплитуду фазовых характеристик процесса оказывает определенное положение в пространстве. В колебательном контуре радиоприемника, кроме собственного затухания, приходится учитывать реальный электромагнитный фон. При определенных условиях с высоким значением добротности допустимо образование стоячих волн.
Если пружина создана с различным распределением плотности витков, типовые формулы не действуют. Стандартные расчеты подразумевают равномерные упругость и деформации каждой части. Для уточнения нелинейности применяют корректирующие коэффициенты, сложные многоэтапные схемы вычислений.
Аналогичные особенности учитывают при использовании диодов или других радиотехнических компонентов с переменными амплитудно-частотными характеристиками. Если катушку индуктивности намотать на сердечнике из ферромагнитного материала, также придется учитывать нелинейность выходных параметров. Ее не получится описать элементарным уравнением закона Ома.
В нелинейных контурах при определенном спектральном распределении внешних воздействий присутствуют гармонические колебания. Кроме совпадения частот, значение имеет их амплитуда. В зависимости от настроек, они способны выполнять полезные и вредные функции. Определенные условия вызывают искажение формы базового сигнала.
Использование резонанса напряжений для передачи радиосигнала
Явление резонанса напряжений является не только любопытнейшим физическим феноменом. Оно играет исключительную роль в технологии беспроводных коммуникаций – радио, телевидении, сотовой телефонии. Передатчики, используемые для беспроводной передачи информации, в обязательном порядке содержат схемы, предназначенные для резонирования на определенной для каждого устройства частоте, называемой несущей частотой. При помощи передающей антенны, подключенной к передатчику, он излучает электромагнитные волны на несущей частоте.
Антенна на другом конце приемо-передающего тракта получает этот сигнал и подает его на приемный контур, предназначенный для резонирования на частоте несущей. Очевидно, что антенна принимает множество сигналов на различных частотах, не говоря уже о фоновом шуме. Благодаря наличию на входе приемного устройства, настроенного на несущую частоту резонансного контура, приемник выбирает единственно правильную частоту, отсеивая все ненужные.

После детектирования амплитудно-модулированного (AM) радиосигнала, выделенный из него низкочастотный сигнал (НЧ) усиливается и подается на звуковоспроизводящее устройство. Это простейшая форма радиопередачи очень чувствительна к шумам и помехам.
Для повышения качества принимаемой информации разработаны и успешно используются другие, более совершенные способы передачи радиосигнала, которые также базируются на использовании настроенных резонансных систем.
Частотная модуляция или FM-радио решает многие из проблем радиопередачи с амплитудно-модулированным передающим сигналом, однако это достигается ценой существенного усложнения системы передачи. В FM-радио системные звуки в электронном тракте превращаются в небольшие изменения несущей частоты. Часть оборудования, которое выполняет это преобразование, называется «модулятор» и используется с передатчиком.
Соответственно, к приемнику должен быть добавлен демодулятор для преобразования сигнала обратно в форму, которая может быть воспроизведена через громкоговоритель.
В чем заключается явление резонанса напряжений
Как известно, в сети переменного тока домашней сети разность потенциалов изменяется с частотой 50 Гц. То есть, каждую секунду производится 50 полных колебаний. Такое явление несложно замерить даже бытовым частотомером, который определить точное значение этого параметра именно по эффекту электромагнитного поля, образованного вокруг проводника с током. Катушка с металлическим сердечником, которая устанавливается в измерительный прибор, будет колебаться с частотой электромагнитного поля домашней электросети.
Частотомер
Таким образом, вырабатывается переменное напряжение, которое затем может быть увеличено, а его частота подсчитана микропроцессорным либо аналоговым устройством, после чего информация может быть выведена на экран.
Разобравшись, в чем заключается явление резонанса электрического напряжения, необходимо стараться всячески избегать этого явления, когда одновременные колебательные движения полей являются нежелательными. Если же в каком-либо устройстве такой эффект применяется с целью получения определенных физических явлений, то схема должна быть изготовлена с высокой добротностью, чтобы на поддержание процесса тратилось как можно меньше энергии (таким образом повышается КПД устройства).
Резонанс токов
Резонанс токов наблюдается в цепях, где индуктивность и емкость соединены параллельно.

Явление заключается в протекании токов большой величины между конденсатором и катушкой, при нулевом токе в неразветвленной части цепи. Это объясняется тем, что при достижении резонансной частоты общее сопротивление Z возрастает. Или простым языком звучит так – в точке резонанса достигается максимальное общее значение сопротивления Z, после чего одно из сопротивлений увеличивается, а другое снижается в зависимости от того растет или снижается частота. Это наглядно отображено на графике:

В общем, всё аналогично предыдущему явлению, условия возникновения резонанса токов следующие:
- Частота питания аналогична резонансной у контура.
- Проводимости у индуктивности и ёмкости по переменному току равны BL=Bc, B=1/X.
Принцип резонанса токов
Токовый резонанс наблюдается внутри электроцепи, обладающей параллельным катушечным, резисторным и конденсаторным подсоединением. Основной принцип работы стандартного резонанса токов не слишком сложен для понимания простого обывателя:
- включение электропитания сопровождается накоплением заряда внутри конденсатора до номинальных показателей напряжения источника;
- отключение питающего источника с последующим замыканием цепи в контур сопровождается процессом переноса разряда на катушечную часть прибора;
- токовые показатели, проходящие по катушке, вызывают генерирование магнитного поля и создание электродвижущей силы самоиндукции, в направлении, встречном току;
- максимальное значение токовых показателей достигается на стадии полного конденсаторного разряда;
- весь объем накопленной энергетической емкости легко преобразуется в магнитное индукционное поле;
- катушечная самоиндукция не провоцирует остановку заряженных частиц, а повторный этап зарядки с другим типом полярности обусловлен отсутствием конденсаторного противотока.

Резонанс в параллельной цепи (резонанс токов)
Итогом данного цикла является повторяющееся преобразование всего катушечного поля в конденсаторный заряд. Определение стандартной резонансной частоты осуществляется аналогично расчетам резонанса напряжения.
Присутствующая внутренняя активная составляющая R вызывает постепенное угасание колебательного процесса, чем и обуславливается токовый резонанс.
Резонанс напряжений
Если последовательно с генератором соединить конденсатор и катушку индуктивности, то, при условии равенства их реактивных сопротивлений, возникнет резонанс напряжений. При этом активная часть Z должно быть как можно меньшей.

Стоит отметить, что индуктивность и емкость обладает только реактивными качествами лишь в идеализированных примерах. В реальных же цепях и элементах всегда присутствует активное сопротивление проводников, хоть оно и крайне мало.
При резонансе происходит обмен энергией между дросселем и конденсатором. В идеальных примерах при первоначальном подключении источника энергии (генератора) энергия накапливается в конденсаторе (или дросселе) и после его отключения происходят незатухающие колебания за счет этого обмена.
Напряжения на индуктивности и емкости примерно одинаковы, согласно закону Ома:
U=I/X
Где X — это Xc емкостное или XL индуктивное сопротивление соответственно.
Цепь, состоящую из индуктивности и емкости, называют колебательным контуром. Его частота вычисляется по формуле:
Период колебаний определяется по формуле Томпсона:
Так как реактивное сопротивление зависит от частоты, то сопротивление индуктивности с ростом частоты увеличивается, а у ёмкости падает. Когда сопротивления равны, то общее сопротивление сильно снижается, что отражено на графике:

Основными характеристиками контура являются добротность (Q) и частота. Если рассмотреть контур в качестве четырехполюсника, то его коэффициент передачи после несложных вычислений сводится к добротности:
K=Q
А напряжение на выводах цепи увеличивается пропорционально коэффициенту передачи (добротности) контура.
Uк=Uвх*Q
При резонансе напряжений, чем выше добротность, тем больше напряжение на элементах контура будет превышать напряжение подключенного генератора. Напряжение может повышаться в десятки и сотни раз. Это отображено на графике:

Потери мощности в контуре обусловлены только наличием активного сопротивления. Энергия из источника питания берется только для поддержания колебаний.
Коэффициент мощности будет равен:
cosФ=1
Эта формула показывает, что потери происходят за счет активной мощности:
S=P/Cosф
Причины резонанса
Классический пример с приказом командира идти марширующим солдатам «не в ногу» перед мостом наглядно демонстрирует суть этого явления
Если не использовать такую предосторожность, колебания могут увеличиться до критичного значения, вплоть до разрушения конструкции. Для получения максимальной амплитуды раскачивают в определенном ритме качели
Приведенные примеры демонстрируют существенное увеличение результата при совпадении частот внешнего воздействия и непосредственно самой системы.
Электрический резонанс по своим принципам не отличается от механических аналогов. Он образуется при совпадении частот внешнего сигнала и контура. Функции накопителей энергии выполняют реактивные индукционные и емкостные элементы. Потери (постепенное уменьшение амплитуды) обеспечивает электрическое сопротивление цепи, что аналогично коэффициенту трения.
Резонанс напряжений
Если последовательно с генератором соединить конденсатор и катушку индуктивности, то, при условии равенства их реактивных сопротивлений, возникнет резонанс напряжений. При этом активная часть Z должно быть как можно меньшей.

Стоит отметить, что индуктивность и емкость обладает только реактивными качествами лишь в идеализированных примерах. В реальных же цепях и элементах всегда присутствует активное сопротивление проводников, хоть оно и крайне мало.
При резонансе происходит обмен энергией между дросселем и конденсатором. В идеальных примерах при первоначальном подключении источника энергии (генератора) энергия накапливается в конденсаторе (или дросселе) и после его отключения происходят незатухающие колебания за счет этого обмена.
Напряжения на индуктивности и емкости примерно одинаковы, согласно закону Ома:
U=I/X
Где X — это Xc емкостное или XL индуктивное сопротивление соответственно.
Цепь, состоящую из индуктивности и емкости, называют колебательным контуром. Его частота вычисляется по формуле:
Период колебаний определяется по формуле Томпсона:
Так как реактивное сопротивление зависит от частоты, то сопротивление индуктивности с ростом частоты увеличивается, а у ёмкости падает. Когда сопротивления равны, то общее сопротивление сильно снижается, что отражено на графике:

Основными характеристиками контура являются добротность (Q) и частота. Если рассмотреть контур в качестве четырехполюсника, то его коэффициент передачи после несложных вычислений сводится к добротности:
K=Q
А напряжение на выводах цепи увеличивается пропорционально коэффициенту передачи (добротности) контура.
Uк=Uвх*Q
При резонансе напряжений, чем выше добротность, тем больше напряжение на элементах контура будет превышать напряжение подключенного генератора. Напряжение может повышаться в десятки и сотни раз. Это отображено на графике:

Потери мощности в контуре обусловлены только наличием активного сопротивления. Энергия из источника питания берется только для поддержания колебаний.
Коэффициент мощности будет равен:
cosФ=1
Эта формула показывает, что потери происходят за счет активной мощности:
S=P/Cosф
Резонанс токов и напряжений
Параллельный контур используют, чтобы создать резонанс тока. Для выполнения отмеченных выше условий выбирают равные значения реактивных проводимостей (BL и Bc). По мере увеличения частоты общее сопротивление контура возрастает, что сопровождается уменьшением силы тока.
График изменения тока и проводимости, формулы для расчетов
В последовательном резонансном контуре устанавливают аналогичные функциональные компоненты. Эта схема при достижении резонансной частоты уменьшает сопротивление, что сопровождается существенным увеличением напряжения на реактивных составляющих, по сравнению с электродвижущей силой источника питания.
Резонанс напряжений в цепи переменного тока: график, электрическая схема и формула расчета
Элементы резонансной цепи

Явление резонанса может возникнуть в так называемой RLC-цепи, содержащей следующие компоненты:
- R — резисторы. Эти устройства, относящиеся к так называемым активным элементам электрической цепи, преобразуют электрическую энергию в тепловую. Другими словами, они удаляют энергию из контура и преобразуют ее в тепло.
- L — индуктивность. Индуктивность в электрических цепях — аналог массы или инерции в механических системах. Этот компонент не очень заметен в электрической цепи, пока не попробуешь сделать в ней какие-либо изменения. В механике, например, таким изменением является изменение скорости. В электрической цепи — изменение тока. Если оно по какой-либо причине происходит, индуктивность противодействует такому изменению режима цепи.
- С – обозначение для конденсаторов, которые представляют собой устройства, хранящие электрическую энергию подобно тому, как пружины сохраняют механическую энергию. Индуктивность концентрирует и сохраняет магнитную энергию, в то время как конденсатор концентрирует заряд и тем самым хранит электрическую энергию.
Резонанс в реальных цепях
Для изучения описанных процессов надо собрать контур из соответствующих компонентов. Придется подготовить генератор с изменяющейся частотой выходного сигнала, осциллограф и другие измерительные инструменты. Чтобы получить достоверные результаты без лишних трудностей, пользуются специализированным программным обеспечением.
Теория и практика
В левой части рисунка размещены схема и амплитуда сигнала на выходе при подключении к выводам конденсатора параллельного контура. В правой – снимок экрана измерительной аппаратуры. Несложно убедиться в идентичности колебаний.
К сведению. С помощью ПО выполняют десятки экспериментов быстро и точно в обычных домашних условиях. Этот способ значительно упрощает создание электрических схем с оптимальными параметрами.
Реактивные сопротивления индуктивности и емкости
Индуктивностью называется способность тела накапливать энергию в магнитном поле. Для нее характерно отставание тока от напряжения по фазе. Характерные индуктивные элементы — дросселя, катушки, трансформаторы, электродвигатели.

Емкостью называются элементы, которые накапливают энергию с помощью электрического поля. Для емкостных элементов характерно отставание по фазе напряжения от тока. Емкостные элементы: конденсаторы, варикапы.

Приведены их основные свойства, нюансы в пределах этой статьи во внимание не берутся. Кроме перечисленных элементов другие также имеют определенную индуктивность и емкость, например в электрических кабелях распределенные по его длине
Кроме перечисленных элементов другие также имеют определенную индуктивность и емкость, например в электрических кабелях распределенные по его длине.
Использование резонанса напряжений для передачи радиосигнала
Применение последовательного колебательного контура удобно изучать на конкретном примере. При конструировании передающих устройств, например, уменьшение импеданса на определенной частоте позволяет сделать настройку на определенный сигнал. Такую задачу решают с помощью колебательного контура.
Распределение спектра на экране измерительного прибора после обработки фильтром
Точно спроектированный фильтр будет «убирать» паразитные составляющие без дополнительных средств контроля и автоматизации. Такое решение, кроме простоты и минимальной стоимости, обеспечивает экономное потребление энергии генератором сигнала.
Как показано на практических примерах, резонанс может выполнять полезные и вредные функции. Точный расчет поможет создать качественную электрическую цепь с заданными техническими параметрами.
Применение
При совпадении частоты генератора и собственных колебаний контура на катушке появляется напряжение, более высокое, чем на клеммах генератора. Его можно использовать для питания высокоомной нагрузки повышенным напряжением или в полосовых фильтрах.
Если напряжение источника питания слишком маленькое, то его можно повысить, если устроить последовательный резонанс на основе трансформатора. Если при этом полученное напряжение окажется больше расчетного для трансформатора, то первичная и вторичная обмотки соединяются последовательно, чтобы трансформатор не вышел из строя.
Какие последствия резонанса напряжений
Если в электрической системе с ёмкостью, индуктивностью и сопротивлением не учитывать воздействие этого явления, то работа устройств может быть нестабильной. Если этот эффект носит паразитический характер, то от него следует обязательно избавляться. Увеличение напряжения вследствие возникновения резонансного явления в цепи переменного напряжения может привести к выходу элементов из строя.
Важно! При возникновении этого явления могут быть разрушены конденсаторы из-за превышения реактивной мощности. При перегреве вследствие резонанса напряжений электротехника может не только выйти из строя, но и загореться
При перегреве вследствие резонанса напряжений электротехника может не только выйти из строя, но и загореться.
Возгорание электрической подстанции
На крупных производственных объектах такое явление может привести к аварии с человеческими жертвами. Если высоковольтные линии электропередач находятся слишком близко, то эффект электрического резонанса может возникать и в системах этого типа.
Шунтирующие генераторы ЛЭП
Чтобы защитить ЛЭП от негативного воздействия этого явления применяются шунтирующие генераторы, которые устанавливаются через каждые 300 – 400 км.
Использование резонанса напряжений для передачи радиосигнала
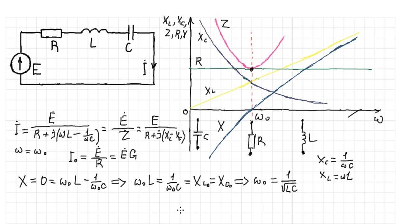
Колебательный контур этого типа создают из последовательной комбинации трех базовых компонентов: резистор, конденсатор, индуктивность. Подходящим для резонанса условием является нулевое сопротивление цепи (комплексное). Для решения такой задачи следует изучить основные формулы.
Комплексное сопротивление Rк=R+j(wL-1/wC). Постоянный резистор (R) не зависит от частоты (w). Значит, придется оперировать с индукционными и емкостными элементами. Резонансный эффект получают при (wL-1/wC)=0. Для вычисления необходимых значений пользуются следующими расчетами:
- Lп=1/w2*C;
- Сп=1/w2*L;
- Wп=1/√L*C.
Из приведенных данных понятно, что корректировать можно любой из параметров при одновременном сохранении двух других. В практической схемотехнике удобнее работать с частотой, поэтому рассмотрим подробнее применение такого варианта.
Последовательный контур с графиками
На рисунках показаны условия возникновения резонанса напряжений. В точке, обозначенной w0, наблюдается равенство индуктивной и емкостной составляющих на определенной частоте. Небольшой сдвиг влево по оси обусловлен резистивным компонентом цепи.
Напряжение на конденсаторе (Uc) при частоте резонанса (W0) равно волновому сопротивлению колебательного контура (p=√L/C). Аналогичная разница потенциалов будет на клеммах катушки при частоте W0. Данная особенность объясняет особое название процесса – «резонанс напряжений». Также в электротехнических расчетах применяют следующие определения:
- Добротность – Q=p/R;
- Затухание – 1/Q.
Отмеченные свойства используют в радиоприемной и передающей аппаратуре. Выделение контуром определенного диапазона позволяет выполнять настройку станции на определенную частоту с определенной параметрами цепи погрешностью. Для контроля избирательности оценивают амплитуду сигнала относительно резонансной частоты. Уровень отклонения на 3 дБ в обе стороны (0,7 от максимума) называют полосой пропускания.
Амплитудно-частотная характеристика (АЧХ) и полоса пропускания
Последовательный резонанс при источнике тока
Измерение сопротивления в цепи с последовательно подключенными реактивными элементами поможет фиксировать на определенной частоте резонанс. В этом случае для эксперимента пользуются источником тока. При низкой (высокой) частоте ограничивающее влияние оказывают емкостные (индуктивные) характеристики цепи. На частоте резонанса суммарное реактивное сопротивление минимально.
Электрические параметры в последовательном контуре
На рисунках изображены следующие зависимости от частоты:
- а. общего сопротивления;
- б. реактивных компонентов;
- в. силы тока в резонансных режимах.
Заключение
Резонанс токовых величин в физике — это естественное явление, сопровождающееся резким возрастанием амплитуды колебания внутри системы, что обусловлено совпадением показателей собственных и внешних возмущающих частот.
Подобный вариант явлений характеризует электрические схемы с наличием элементов, представленных нагрузками активного, индуктивного и емкостного типа. Таким образом, токовый резонанс — один из наиважнейших параметров, широко используемых в настоящее время в целом ряде современных отраслей, включая промышленное электрическое снабжение и радиосвязь.

















































