Эффективность электронных коммутируемых электродвигателей
Электродвигатели с электронным управлением ЕС — бесщеточные двигатели постоянного тока, управляемые внешней электроникой — либо электронная плата, либо преобразователь частоты. Ротор содержит постоянные магниты, а статор имеет набор неподвижных обмоток. Коммутация выполняется с помощью электронных схем. «Плата» переключает фазы в неподвижных обмотках, чтобы поддерживать вращение двигателя. Это позволяет поддерживать тока якоря. Когда подключается напряжение правильной полярности и в нужное время возрастает точность электрической машины. Поскольку скорость двигателя контролируется внешней электроникой, двигатели EC не имеют ограниченной синхронной скорости.
Двигатели EC имеют несколько преимуществ. Поскольку они не имеют щеток, они не искрят и срок их службы больше из-за отсутствия щеток, имеют меньше потери из-за «смарт управления» статором. Они обеспечивают лучшую производительность и управляемость, чем асинхронные двигатели. С точки зрения размеров — небольшие электродвигатели могут достигать таких же габаритов, что и традиционные электрические машины постоянного или переменного тока.
Распределение мощности намного лучше у машин с электронным управлением. Бесщеточные электродвигатели постоянного тока (BLDC) зависят от источника питания постоянного напряжения. При использовании машин переменного тока появляются дополнительные затраты и сложность системы в случае необходимости регулирования. ЕС электродвигатели могут напрямую подключаться к источникам переменного тока благодаря наличию электронной системы управления. Более того, они слабо подвержены влиянию изменений частоты и напряжения сети, из чего можно сделать вывод что небольшие просадки напряжения сети не окажут существенного влияния на мощность машины, в отличии от асинхронных электродвигателей.
Если сравнить эффективность ЕС машины с машиной переменного тока с расщепленным полюсом или с конденсаторным электродвигателем, то можно увидеть, что машина с расщепленным полюсом имеет КПД порядка 15% — 25%, конденсаторные электродвигатели 30% — 50%, а ЕС машины имеют КПД в пределах 60% — 75% и являются наиболее эффективными и энергосберегающими.
Диапазон изменения КПД для конденсаторных асинхронных машин довольно велик и лежит в пределах 30% — 50%, что особенно сильно ощутимо при неполной их загрузке, например при работе в системах вентиляции и кондиционирования. ЕС электродвигатели имеют меньший диапазон изменения КПД при работе на различных скоростях и с различной нагрузкой. Как правило, у таких машин КПД не ниже 70%, а в машинах, работающих с номинальными параметрами, он может превышать 80%.
Машины с электронным управлением имеют регулятор скорости в качестве встроенной опции. Электродвигатели переменного тока могут иметь данную опцию только с внешним контролером (преобразователь частоты). Преобразователь частоты изменяют амплитуду и частоту напряжения, поступающего на электродвигатель, генерируя тем самым высшие гармоники, которые отрицательно сказываются на электрической машине, способствуя ее перегреву, и, как следствие, снижению срока службы.
Коммутационные схемы принимают входы с широтно-импульсной модуляцией от 4 до 20 мА и от 0 до 10 В. Это позволяет управлять скоростью в диапазоне от 10% до 100%. Мониторинг двигателей EC с помощью интегральной схемы прост, и может быть легко доступен разработчику для обеспечения обратной связи. Наконец, двигатели EC обеспечивают плавный пуск, снижение шума и более низкую температуру двигателя.
Электрические машины с электронным управлением обычно используются для приложений малой мощности, таких как небольшие вентиляторы, сервомоторы и системы управления движением. Однако, благодаря последним достижениям в области электроники и химии, двигатели EC находят свой путь в более крупные производственных приложениях, до 12 кВт и выше.
Применение на практике
Свойства конденсатора используются при конструировании различных фильтров. Действие ёмкостного сопротивления в этом случае зависит от способа подключения детали:
- Если он присоединён параллельно нагрузке, то получится фильтр, задерживающий высокие частоты. С их ростом падает сопротивление конденсатора. Соответственно, нагрузка на высоких частотах шунтируется сильнее, чем на низких.
- Если деталь подключена последовательно с нагрузкой, то получится фильтр, задерживающий низкие частоты. Эта схема также не пропускает постоянное напряжение.
- Ещё одна область применения — отделение переменной составляющей от постоянной. Например, в оконечных каскадах усилителей звуковой частоты. Чем выше ёмкость, тем более низкую частоту способен воспроизвести подключённый громкоговоритель.
В фильтрах электропитания, наряду с ёмкостным сопротивлением, используется также свойство накопления и отдачи заряда. В момент повышения нагрузки заряженная ёмкость фильтра разряжается, отдавая дополнительную энергию. Она также осуществляет подавление пульсаций и прочих паразитных сигналов, пропуская их через себя и замыкая на общий провод. Таким образом, обеспечивается сглаживание и поддержание напряжения на нагрузке в заданных пределах, и устранение нежелательных междукаскадных связей, вызывающих нестабильную работу.
Измерение сопротивления конденсаторов.
Мгновенная мощность в цепи переменного тока с активным сопротивлением.
При переменных величинах напряжения и тока скорость преобразования электрической энергии в приемнике, т. е. его мощность, тоже изменяется. Мгновенная мощность равна произведению мгновенных величин напряжения и тока: p = Umsinωt * Imsinωt = UmImsin2ωt
Из тригонометрии найдём 
Более наглядное представление о характере изменения мощности в цепи дает график в прямоугольной системе координат, который строится после умножения ординат кривых напряжения и тока, соответствующих ряду значений их общего аргумента — времени t. Зависимость мощности от времени — периодическая кривая (рис. 13.2). Если ось времени t поднять по чертежу на величину р = Pm√2 = UmIm√2, то относительно новой оси t’ график мощности является синусоидой с двойной частотой и начальной фазой 90°:
Таким образом, в первоначальной системе координат мгновенная, мощность равна сумме постоянной величины Р = UmIm√2 и перемен- ной р’:
р = Р + р’
Анализируя график мгновенной мощности, нетрудно заметить, что мощность в течение периода остается положительной, хотя ток и напряжение меняют свой знак. Это получается благодаря совпадению по фазе напряжения и тока.
Постоянство знака мощности говорит о том, что направление потока электрической энергии остается в течение периода неизменным, в данном случае от сети (от источника энергии) в приемник с сопротивлением R, где электрическая энергия необратимо преобразуется в другой вид энергии. В этом случае электрическая энергия называется активной.
Если R — сопротивление проводника, то в соответствии с законом Ленца — Джоуля электрическая энергия в нем преобразуется в тепло.
Коэффициент трансформации электросчетчика
Величина коэффициента трансформации широко применяется для приборов учета электроэнергии. Эти данные необходимы для правильного выбора электросчетчика и дальнейших расчетов реального энергопотребления. С этой целью используется дополнительный показатель – расчетный коэффициент учета.

Для того чтобы определить данную величину с прибора учета электроэнергии снимаются показания и умножаются на коэффициент трансформации подключенного трансформаторного устройства. Например, решая задачу, как найти нужный показатель, 60 кВт/ч нужно умножить на коэффициент, равный 20 (30, 40 или 60). В результате умножения получается 60 х 20 = 1200 кВт/ч. Полученной значение и будет реальным расходом электроэнергии.
Существуют различные виды приборов учета. По своему принципу действия они могут быть одно- или трехфазными. Они не подключаются напрямую, между ними в цепь обязательно включается трансформатор тока. Некоторые конструкции счетчиков предполагают возможность прямого включения. В сетях с напряжением до 380 вольт используются счетчики 5-20 ампер. На счетчик поступает электроэнергия в чистом виде, с постоянным значением.

В настоящее время используются индукционные приборы учета, которые постепенно заменяются электронными моделями. Они считаются устаревшими, поскольку не могут выполнять учет потребленной электроэнергии по разным тарифам. Кроме того, они не могут передавать данные на удаленное расстояние. Поэтому на смену им приходят электронные счетчики, способные напрямую преобразовывать поступающий ток в определенные сигналы. В этих конструкциях отсутствуют вращающиеся части, что способствует существенному повышению их надежности и долговечности. Коэффициент трансформации таких устройств оказывает прямое влияние на точность получаемых данных.
Дополнительные методы расчета цепей
Расчёт электрической и акустической проводок
В зависимости от сложности устройства (электрической схемы), выбирают оптимальную технологию вычислений.
Метод узлового напряжения
Основные принципы этого способа базируются на законе Ома и постулатах Кирхгофа. На первом этапе определяют потенциалы в каждом узле. Далее вычисляют токи в отдельных ветвях с учетом соответствующих электрических сопротивлений (отдельных компонентов или эквивалентных значений). Проверку делают по рассмотренным правилам.
Метод эквивалентного генератора
Эта технология подходит для быстрого расчета тока в одной или нескольких контрольных ветвях.

Графическое пояснение
В данной методике общую цепь представляют в виде источника тока с определенным напряжением и внутренним сопротивлением. Далее выполняют вычисления по контрольной ветви с применением стандартного алгоритма.
Свойства ёмкостей
Основное свойство состоит в их способности накапливать и отдавать электрический заряд. Оба этих процесса происходят не мгновенно, а за вполне определённый период, который поддаётся расчету. Данное свойство используется для создания различных времязадающих RC цепей. Если зарядить конденсатор до некоторого значения, то время его разряда через резистор R будет зависеть от ёмкости C. RC цепь Ещё одно распространённое свойство конденсаторов – это возможность ограничивать переменный ток. Вызвана она реактивом этих элементов. Ёмкость, включенная в цепь переменного тока, ограничивает его до значения I = 2pfCU.
Свойства ёмкостей.
Здесь U – напряжение источника питания. Дополнительная информация. Ёмкость, подключенная параллельно с катушкой, имеющей индуктивный характер сопротивления, называется колебательным контуром. Данная цепь обладает высокой амплитудой колебаний на резонансной частоте. Она применяется для выделения из множества окружающих радиосигналов именно того, на который требуется настроить приём.
Сопротивление – это одна их характеристик конденсатора, подключенного к цепи переменного тока. Понимание процессов, происходящих с этим элементом в подобных схемах, существенно расширяет сферу его использования. Реактивное сопротивление конденсаторов учитывается как в простых бытовых электроприборах, так и в сложной вычислительной технике.
Резистор обладает активным (омическим) сопротивлением. Катушка индуктивности и конденсатор обладают реактивным сопротивлением. В цепи переменного тока на конденсаторе ток опережает напряжение на 90 градусов, а на катушке ток отстает от напряжения на 90 градусов. Сопротивление катушки вычисляется по формуле. Сопротивление конденсатора вычисляется по формуле:
Расчет сопротивления.
В цепи переменного тока на идеальном реактивном сопротивлении не выделяется мощность.
Z = R + i X , где Z – импеданс, R – величина активного сопротивления , X – величина реактивного сопротивления, i – мнимая единица . В зависимости от величины X какого-либо элемента электрической цепи, говорят о трёх случаях:
- X > 0 – элемент проявляет свойства индуктивности .
- X = 0 – элемент имеет чисто активное сопротивление .
- X < 0 – элемент проявляет ёмкостные свойства.
Величина реактивного сопротивления может быть выражена через величины индуктивного и ёмкостного сопротивлений.

Индуктивное сопротивление (X L ) обусловлено возникновением ЭДС самоиндукции . Электрический ток создает магнитное поле. Изменение тока, и как следствие изменение магнитного поля, вызывает ЭДС самоиндукции, которая препятствует изменению тока. Величина индуктивного сопротивления зависит от индуктивности элемента и частоты протекающего тока. Ёмкостное сопротивление (X C ). Величина ёмкостного сопротивления зависит от ёмкости элемента С и также частоты протекающего тока.
Закон Ома для участка цепи
Соберем электрическую цепь (рисунок 1, а), состоящую из аккумулятора 1 напряжением в 2 В, рычажного реостата 2, двух измерительных приборов – вольтметра 3 и амперметра 4 и соединительных проводов 5. Установим в цепи при помощи реостата сопротивление, равное 2 Ом. Тогда вольтметр, включенный на зажимы аккумулятора, покажет напряжение в 2 В, а амперметр, включенный последовательно в цепь, покажет ток, равный 1 А. Увеличим напряжение до 4 В путем включения другого аккумулятора (рисунок 1, б). При том же сопротивлении в цепи – 2 Ом – амперметр покажет уже ток 2 А. Аккумулятор напряжением 6 В изменит показание амперметра до 3 А (рисунок 1, в). Сведем наши наблюдения в таблицу 1.
Рисунок 1. Изменение тока в электрической цепи путем изменения напряжения при неизменном сопротивлении
Таблица 1
Зависимость тока в цепи от напряжения при неизменном сопротивлении
| Напряжение цепи в В | Сопротивление цепи в Ом | Ток цепи в А |
| 2 4 6 | 2 2 2 | 1 2 3 |
Отсюда можно сделать вывод, что ток в цепи при постоянном сопротивлении тем больше, чем больше напряжение этой цепи, причем ток будет увеличиваться во столько раз, во сколько раз увеличивается напряжение.
Теперь в такой же цепи поставим аккумулятор с напряжением 2 В и установим при помощи реостата сопротивление в цепи, равное 1 Ом (рисунок 2, а). Тогда амперметр покажет 2 А. Увеличим реостатом сопротивление до 2 Ом (рисунок 2, б). Показание амперметра (при том же напряжении цепи) будет уже 1 А.
Рисунок 2. Изменение тока в электрической цепи путем изменения сопротивления при неизменном напряжении
При сопротивлении в цепи 3 Ом (рисунок 2, в) показание амперметра будет 2/3 А.
Результат опыта сведем в таблицу 2.
Таблица 2
Зависимость тока в цепи от сопротивления при неизменном напряжении
| Напряжение цепи в В | Сопротивление цепи в Ом | Ток цепи в А |
| 2 2 2 | 1 2 3 | 2 1 2/3 |
Отсюда следует вывод, что при постоянном напряжении ток в цепи будет тем больше, чем меньше сопротивление этой цепи, причем ток в цепи увеличивается во столько раз, во сколько раз уменьшается сопротивление цепи.
Как показывают опыты, ток на участке цепи прямо пропорционален напряжению на этом участке и обратно пропорционален сопротивлению того же участка. Эта зависимость известна под названием закон Ома.
Если обозначим: I – ток в амперах; U – напряжение в вольтах; r – сопротивление в омах, то закон Ома можно представить формулой:
то есть ток на данном участке цепи равен напряжению на этом участке, деленному на сопротивление того же участка.
Видео 1. Закон Ома для участка цепи
Пример 1. Определить ток, который будет проходить по нити лампы накаливания, если нить имеет неизменное сопротивление 240 Ом, а лампа включена в сеть с напряжением 120 В.
Пользуясь формулой закона Ома, можно определить также напряжение и сопротивление цепи.
U = I × r ,
то есть напряжение цепи равно произведению тока на сопротивление этой цепи и
то есть сопротивление цепи равно напряжению, деленному на ток цепи.
Пример 2. Какое нужно напряжение, чтобы в цепи с сопротивлением 6 Ом протекал ток 20 А?
U = I × r = 20 × 6 = 120 В .
Пример 3. По спирали электрической плитки протекает ток в 5 А. Плитка включена в сеть с напряжением 220 В. Определить сопротивление спирали электрической плитки.
Если в формуле U = I × r ток равен 1 А, а сопротивление 1 Ом, то напряжение будет равно 1 В:
1 В = 1 А × 1 Ом .
Отсюда заключаем: напряжение в 1 В действует в цепи с сопротивлением 1 Ом при токе в 1 А.
Закон Ома для цепи переменного тока
При подключении нагрузки к такому источнику следует учитывать наличие в цепи компонентов с реактивными составляющими электрического сопротивления, конденсаторов и катушек индукции. Закон Ома для цепей переменного тока действует исключительно для амплитудных и эффективных значений напряжения и тока.
Распределение фаз в цепи с активным сопротивлением
В представленной на рисунке схеме реактивные составляющие отсутствуют. Для этого случая векторы тока и напряжения совпадают по фазе. Расчеты с активным сопротивлением можно выполнять с применением рассмотренных выше формул.
Индуктивная и емкостная нагрузки
При подключении элементов с реактивными характеристиками угол между векторами составляет 90°. В схеме с индуктивностью (емкостью) ток будет отставать от напряжения по фазе либо опережать соответственно. Для расчета напряжения можно применять следующие формулы (w – циклическая частота):
- UL = I * w*L;
- UC = I/ (w*C);
- ХL = w*L;
- XC = 1/(w*C).
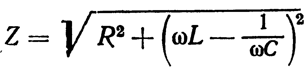
Для полной цепи надо учесть суммарное значение сопротивления – Z. В следующем перечне приведены методы вычислений при наличии в цепи типовых комбинаций пассивных компонентов:
- резистор и катушка индуктивности (последовательное соединение): I = U/ √(R2 + (w*L)2);
- конденсатор с емкостью С и резистор: I = U/√(R2 + (1/w*C)2);
- цепочка RLC: I = U/√(R2 + (w*L + 1/w*L)2).
Сдвиг фаз можно представить следующими выражениями:
- tg ϕ = (UL – UC)/ UR = (ХL – XC)/R;
- cos ϕ = UR/U = R/ Z.
Для расчета активной мощности (Pа) в нагрузке применяют действующие значения тока (Iд) и напряжения (Uд):
Pа = Iд * Uд * cos ϕ.
Последний множитель фактически определяет количество потребляемой электроэнергии. Остаток расходуется на обменные процессы, нагрев соединительных проводов.
К сведению. Производители трансформаторов, электродвигателей и других мощных нагрузок с выраженными реактивными характеристиками приводят значение cos ϕ в сопроводительной документации. По этому коэффициенту можно сделать правильный вывод об энергетической эффективности оборудования. Соответствующую поправку делают при расчете цепей питания, чтобы обеспечить достаточное поперечное сечение проводников для предотвращения чрезмерного повышения температуры и возникновения аварийных ситуаций.
Отдельно следует рассмотреть резонанс. Это явление сопровождается резким увеличением силы тока в цепи при совпадении частоты сигнала (wc) с частотой созданного колебательного контура (wк). В подобной ситуации не исключено повреждение компонентов схемы и проводников.
Обозначенные условия создает увеличение сопротивления в цепи, которое обеспечивается равенством реактивных составляющих:
ХL = w*L = XC = 1/(w*C).
Частоты совпадают в следующем случае (последовательное соединение):
wc = wк = 1/√(L*С).
Напряжения на конденсаторе и катушке становятся равными по амплитуде, но противоположными по фазе. Ток определяется с учетом базовых определений закона Ома:
I = U/Z = U/ √ R2 + (2π * w * L – 1/2π * w * C)2.
Выводы:
Фактическое волновое сопротивление проводников на печатной плате не всегда соответствует предварительным расчетам или измеренным заводом значениям. Вычисленные с высокой точностью расчетные значения импедансов могут получиться с отклонениями, как вследствие особенностей проекта, так и вследствие неточности изготовления. Простое уменьшение допуска на импеданс при заказе изготовления платы может не привести к ожидаемому результату. Лучшие результаты по импедансам на плате могут быть достигнуты по результатам совокупности факторов — высокого качества изготовления и тщательности трассировки. В ответственных случаях для плат может применяться предварительное моделирование целостности сигналов, например, в системах типа Sigrity и аналогичных.
Стандартное отклонение в пределах ±10% к расчетному значению в большинстве случаев является вполне приемлемым результатом изготовления плат с контролем импеданса.

















































