Закон Ома для неоднородного участка цепи
В реальных условиях для поддержания перемещения зарядов с определенной интенсивностью необходимо приложение сторонних сил, а не только кулоновских. Рассмотренный ниже пример демонстрирует участок замкнутой цепи, который называют неоднородным.
Описание закона
Формулировка этого принципа справедлива для любых двух точек цепи, по которой проходит электрический ток. Для этого примера формула Ома принимает следующий вид:
I = U12/R, где U12 обозначает напряжение между контрольными точками.
С учетом отмеченных на рисунке параметров можно преобразовать итоговое выражение следующим образом:
I = ((ϕ1- ϕ2) ± E)/R12,
где:
- ϕ1- ϕ2 – разница потенциалов;
- Eип – электродвижущая сила, которую характеризуют величина и определенная полярность;
- R12 – полное электрическое сопротивление (проводник + источник ЭДС).
Для пояснения полученного результата следует отметить наличие кулоновских и сторонних сил с векторами ЭДС Eq и Est, соответственно. При перемещении определенного заряда (q) между контрольными точками (1-2) по проводнику будет выполнена работа A12. Зависимости между этими величинами величины можно определить простой формулой:
A12/q = ϕ1 – ϕ2.
Так как ЭДС на участке будет равна работе по перемещению q, справедливо выражение:
Ast/q = E12.
Суммарное значение выполненных действий будет равно напряжению:
U = A12/q + Aип/q = ϕ1 – ϕ2 + E12.
После математического преобразования по закону Ома формула приобретает вид:
I = ((ϕ1- ϕ2) ± E)/R12.
Важно! Значение ЭДС может быть положительным либо отрицательным. Соответствующие изменения зависят от подключения источника в участок с определенной полярностью
Для корректного применения представленных правил можно рассмотреть пример расчета со следующими исходными данными:
- ЭДС – Eип = 5 V;
- потенциалы в отдельных точках – ϕ1 (ϕ2) = 20V (8V);
- электрическое сопротивление цепи – R12 = 4 Ом;
- сопротивление источника питания – Rип = 2 Ом.
Так как направление тока при замыкании цепи выбирается от большего потенциала к меньшему, по представленной на рис. выше схеме ЭДС берут со знаком «минус». Подставленные в рассмотренную формулу исходные данные помогут сделать следующее вычисление:
I = ((ϕ1- ϕ2) – Eип)/(R12 + Rип) = (20 – 8 – 5)/(4 + 2) = 7/6 ≈ 1,17 А.
К сведению. Обратный вариант включения ЭДС при аналогичных исходных параметрах сопровождается изменением знака на «минус».
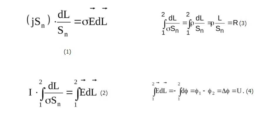
Закон Ома в интегральной форме
Для работы с этой методикой можно воспользоваться дифференциальным выражением (J = p*E).
Пояснительные данные к интегральной форме расчета
Базовую формулу преобразуют следующим образом:
- в обе части добавляют множитель, учитывающий элементарный отрезок длины проводника (dL);
- взяв первый интеграл по контрольным точкам, получают итоговое значение для сопротивления: R = p*(L/S);
- совмещают две формулы (1 и 2), выполняют математическое преобразование;
- интеграл второй части определит значение напряжения.
Итоговый результат соответствует определению классического вывода Ома, где взаимная связь u r I обоснована результатом экспериментов (I = U/R).
Формула закона Ома для однородного участка цепи
Для создания тока в проводнике нужно создать разницу потенциалов между определенными точками с применением источника питания. Этим действием активизируют перемещение заряженных частиц. Ток направляется в сторону меньшего потенциала, причем электроны будут перемещаться в обратном направлении.
Направление силы тока противоположно движению отрицательно заряженных частиц
Разную полярность можно отобразить соответствующими потенциалами ϕ1(+)>ϕ2(-). Вычитанием определенных величин получают значение напряжения (эдс, электродвижущую силу) на участке созданной цепи:
ϕ1- ϕ2 = U.
В ходе упомянутых практических экспериментов Георг Ом установил прямую зависимость силы тока (I) от увеличения разницы потенциалов. Одновременно было отмечено влияние материала проводника. Этот параметр – электрическое сопротивление (R), по мере увеличения препятствует прохождению тока. Итоговые зависимости выражаются известной формулой:
I = U/R.
«Магический» треугольник помогает запомнить алгоритмы типовых вычислений
На левой стороне рисунка наглядно изображены основные принципы рабочего процесса. Напряжение обеспечивает перемещение заряженных частиц. Сопротивление определяет условия для этого действия. Математическим преобразованием (правая сторона) можно получить формулы (треугольник), чтобы вычислять третий параметр по известным значениям двух других (i u r):
- R=U/I;
- U = I * R.
Отмеченное влияние проводника выражают через специальный коэффициент (p), которым обозначают удельное сопротивление. При рассмотрении контрольного образца следует учесть площадь поперечного сечения (S, в мм кв.) и длину (L, м). Итоговая формула для электрического сопротивления на основе перечисленных параметров:
R = p * (L/S).
Ее можно использовать при необходимости в комплексе с зависимостями закона Ома:
I = (U * S)/(p * L).
На основе рассмотренных процессов можно сформулировать энергетические потери, которые создает однородный участок цепи. На перемещение зарядов между двумя точками с разными потенциалами будут потрачена мощность:
P = U * I.
Прямо пропорциональный характер этого математического выражения подчеркивает соответствующую зависимость параметра от напряжения на участке цепи, тока. При необходимости в алгоритм вычислений добавляют электрическое сопротивление.
Баланс мощности
На основании закона сохранения энергии мощность, развиваемая источниками электрической энергии, должна быть равна мощности преобразования в цепи электрической энергии в другие виды энергии:
где
— сумма мощностей, развиваемых источниками;
— сумма мощностей всех приемников и необратимых преобразований энергии внутри источников.
Дополнительно по теме
|
Основные законы и методы расчета электрических цепей постоянного тока
|
Основные свойства электрических цепей постоянного тока
|






























