Трехфазный тиристорный выпрямитель напряжения: примеры практического применения

- 20 мая 2013 г. в 08:00
- 3259
Трехфазный тиристорный выпрямитель предназначен для преобразования трехфазного переменного напряжения сети в постоянное регулируемое. Рассмотрим примеры практического применения управляемого тиристорного преобразователя.
Трехфазный тиристорный выпрямитель тока предназначен для преобразования трехфазного переменного напряжения сети в постоянное регулируемое. Выпрямитель является одним из наиболее распространенным и классическим изделием силовой электроники. Предлагаем читателю ознакомиться с его внутренним устройством и вариантами применения.
Общая структура типовой выпрямительной системы представлена на рисунке 1:
Рисунок 1. Трехфазный тиристорный выпрямитель тока (напряжения)
Трехфазное переменное напряжение подается на первичную обмотку сетевого трансформатора TV через сетевой дроссель L. Напряжение со вторичной обмотки поступает на управляемый тиристорный выпрямитель VS, собранный по мостовой схеме Ларионова. Выходное напряжение выпрямителя содержит гармоники и фильтрации, для подавления которых предназначен Г-образный идуктивно-емкостной фильтр Ф. В ряде случаев требуется заземление минусового провода (провод PE).
Рассмотрим практические примеры применения этого устройства.
Пример 1. Распределение мощности по трем фазам при питании однофазной нагрузки
Довольно часто встречается случай, когда нагревательный элемент электрической печи выполнен однофазным. При большом количестве таких печей на предприятии и питании их однофазным напряжением возникают сильные перекосы фаз, что неблагоприятно сказывается на других потребителях и снижает пропускную способность электрической сети. Одним из решений может стать применение выпрямителя — при питании нагрузки через управляемый выпрямитель мощность равномерно распределяется по всем трем фазам:
Рисунок 2. Питание однофазной нагрузки от трехфазного выпрямителя
Пример 2. Источник питания постоянного тока
Выпрямитель напряжения может использоваться как регулируемый мощный источник питания постоянного тока. Такой источник может использоваться для различных применений: питания гальванических ванн, зарядки аккумуляторных батарей (тиристорное зарядное устройство), питания приборов и автоматики подстанций оперативным током (шкаф оперативного тока ШОТ). В случае необходимости реализации системы питания постоянного тока с защитным заземлением необходима гальваническая развязка через трансформатор.
Рисунок 3. Источник питания постоянного тока
Пример 3. Управление двигателем постоянного тока
Классическое применение трехфазного выпрямителя — регулирование частоты вращения двигателя постоянного тока (ДПТ):
Рисунок 4. Регулятор скорости двигателя постоянного тока
Для этого необходимо два выпрямителя: один питает обмотку возбуждения, второй обмотку якоря. В настоящее время электропривод постоянного тока интенсивно вытесняется частотно регулируемым приводом (ЧРП) переменного тока; однако по ряду причин и в настоящее время двигателя постоянного тока широко применяются в промышленности и на транспорте.
Рисунок 5. Трехфазный тиристорный управляемый выпрямитель переменного тока ТВН фирмы «Звезда-Электроника»
Российским производителем регулируемых выпрямителей является фирма ООО «Звезда-Электроника», которая серийно и под заказ производит трехфазный тиристорный выпрямитель напряжения ТВН. Изделия фирмы отличаются широким набором сервисных функций, наличием комплекса защит, стабильностью, разумными массо-габаритными показателями.
Вся продукция проходит тщательный контроль на всех этапах.
Основные технические данные:
- номинальный выходной ток 40, 80, 125, 160, 200, 250, 315, 400, 500, 630 А;
- выходное напряжение – регулируемое или стабилизированное (согласно заказу);
- система управления – микропроцессорная;
- режимы стабилизации выходного напряжение и тока;
- защиты от короткого замыкания, перегрузки, перегрева, потери или «слипания» фаз;
- индикация данных на жидкокристаллическом дисплее;
- программирование параметров с кнопочной панели управления;
- широкий выбор управляющих сигналов;
- степень защищенности IP41 с возможностью усиления до IP54;
- по заказу дополнительное комплектование сглаживающим дросселем, сетевым фильтром, сглаживающими конденсаторами, платой аналогового вывода.
По материалам компании «Звезда-Электроника»
Обслуживание и основные неисправности
Новые преобразователи обязательно продувают перед включением в сеть. Делать это лучше бытовым феном на среднем режиме нагрева. Нужно устранить скопившуюся пыль, возможную влагу, она снижает сопротивление медных обмоток встроенного трансформатора. Раз в квартал продувку повторяют.
После длительного хранения (до года) преобразователя, перед работой полезно «прокачать» полупроводники – дать выпрямителю поработать на разных режимах, начиная с минимального. После двухчасовой «обкатки» устройство будет стабильно работать, не откажет во время сварки
Важно следить за исправность вентилятора, оборудование не должно перегреваться
Возможные неисправности сварочного выпрямителя и методы их устранения:
Устройство не включается при подключении к сети. Такое возможно:
- при переломе жилы запитывающего проводника, брякают контакты в вилке – проверяют кабель, меняют вилку;
- в сети отсутствует напряжение – необходимо проверить входной рубильник;
- один из узлов вышел из строя – пора нести преобразователь в сервис или чинить устройства самостоятельно;
- выработан ресурс полупроводниковых элементов – требуется перепайка схемы.
Плавящийся электрод залипает, а преобразователь гудит – нужно:
- проверить исправность полупроводников и конденсатора;
- убедиться, что нет просадки питающей электросети;
- посмотреть целостность обмотки дросселя.
Преобразователь самопроизвольно отключается при работе – такое бывает:
- при перегреве, проверяют исправность вентилятора или охлаждающей системы;
- прорыве обмотки встроенного трансформатора – снимают старую, делают новую.
Устройство перестает выдавать питание нужных параметров – надо потрогать корпус, насколько он горячий, проверить подачу воздуха к вентилятору, дать генератору отдохнуть.
Прыгает напряжение холостого и рабочего тока – проверяют:
- ручку регулятора;
- предохранители первичной обмотки;
- плотность закрепления контактов клеммы у пускателя.
Схемы преобразователей указаны в инструкции по эксплуатации. Для ремонта устройств требуются электротехнические знания, навыки пайки. Лучше отдать устройство в сервисный центр. Они точно определят причину поломки, устранят ее.
Разновидности сварочных выпрямителей
Токогенерирующие сварочные преобразователи различают по конструкции и способу регулировки силовых параметров.
Виды выпрямителей:
- регулируемые трансформатором;
- с дросселем – индукционной катушкой, сдерживающей резкие скачки напряжения;
- с регулирующими тиристорами, меняющими напряжение тока;
- с транзисторами – полупроводниками, сглаживающими скачки импульсного тока;
- инвертор – преобразователи с частотным повышением тока и регулятором его силы.
Классификация выпрямителей по возможностям регулировки вольт-амперных характеристик (несколько слов об особенностях каждого из аппаратов):
- Трехфазные для ручной электродуговой сварки. Громоздкие модели трансформатором. Преобразователь работает с большими энергетическими потерями, возможности ограничены мощностью трансформатора металлическим или магнитным шунтом – дополнительным сопротивлением.
- Автоматы и полуавтоматы. Силовой поток регулируется магнитным полем. Реостатная вторичная обмотка позволяет менять число витков — это принцип вольт-амперной регулировки. Для импульсной регулировки установлен осциллограф. Ток сначала выпрямляется, затем трансформируется в переменный высокой чистоты.
- Дроссельные трехфазные выпрямители для дуговой и аргоновой сварки. Они оснащены дополнительным сердечником с обмоткой, выполняющим роль накопителя заряда, подаваемого на выпрямляющий конденсатор.
Полноволновой полууправляемый мостовой выпрямитель
Двухполупериодное выпрямление имеет много преимуществ по сравнению с более простым полуволновым выпрямителем, например, выходное напряжение более согласовано, имеет более высокое среднее выходное напряжение, входная частота удваивается в процессе выпрямления и требует меньшего значения емкости сглаживающего конденсатора, если таковой требуется. Но мы можем улучшить конструкцию мостового выпрямителя, используя тиристоры вместо диодов в его конструкции.
Заменив диоды внутри однофазного мостового выпрямителя тиристорами, мы можем создать фазо-управляемый выпрямитель переменного тока в постоянный для преобразования постоянного напряжения питания переменного тока в контролируемое выходное напряжение постоянного тока. Фазоуправляемые выпрямители, полууправляемые или полностью управляемые, имеют множество применений в источниках питания переменного тока и в управлении двигателями.
Однофазный мостовой выпрямитель — это то, что называется «неуправляемым выпрямителем» в том смысле, что приложенное входное напряжение передается непосредственно на выходные клеммы, обеспечивая фиксированное среднее значение эквивалентного значения постоянного тока. Чтобы преобразовать неуправляемый мостовой выпрямитель в однофазную полууправляемую выпрямительную цепь, нам просто нужно заменить два диода тиристорами (SCR), как показано на рисунке.
В конфигурации с полууправляемым выпрямителем среднее напряжение нагрузки постоянного тока контролируется с использованием двух тиристоров и двух диодов. Как мы узнали из нашего урока о тиристорах, тиристор будет проводить (состояние «ВКЛ») только тогда, когда его анод (A) более положительный, чем его катод (K) и импульс запуска подается на его затвор (G). В противном случае он остается неактивным.
Таким образом, задерживая импульс запуска, подаваемый на клемму затвора тиристоров, на контролируемый период времени или угол ( α ) после того, как напряжение питания переменного тока прошло пересечение нулевого напряжения между анодным и катодным напряжением, мы можем контролировать, когда тиристор начинает проводить ток и, следовательно, контролировать среднее выходное напряжение.
Во время положительного полупериода входного сигнала ток течет по пути: SCR 1 и D 2 и обратно к источнику питания. Во время отрицательного полупериода V INпроводимость проходит через SCR 2 и D 1 и возвращается к источнику питания.
Понятно, что один тиристор из верхней группы ( SCR 1 или SCR 2 ) и соответствующий ему диод из нижней группы ( D 2 или D 1 ) должны проводить вместе, чтобы протекать ток любой нагрузки.
Таким образом, среднее выходное напряжение V AVE зависит от угла включения α для двух тиристоров, включенных в полууправляемый выпрямитель, поскольку два диода неуправляются и пропускают ток всякий раз, когда смещено вперед. Таким образом, для любого угла срабатывания затвора α среднее выходное напряжение определяется как:
Обратите внимание, что максимальное среднее выходное напряжение возникает, когда α = 1, но все еще равно 0,637 * V MAX, как для однофазного неуправляемого мостового выпрямителя. Мы можем использовать эту идею для контроля среднего выходного напряжения моста на один шаг вперед, заменив все четыре диода тиристорами, что дает нам полностью управляемую схему мостового выпрямителя
Мы можем использовать эту идею для контроля среднего выходного напряжения моста на один шаг вперед, заменив все четыре диода тиристорами, что дает нам полностью управляемую схему мостового выпрямителя .
Схема включения выпрямительного диода
Простейший выпрямитель работает по следующей схеме. На вход подается переменное напряжение сети с положительными и отрицательными полупериодами, окрашенными соответственно в красный и синий цвета. На выходе подключается обычная нагрузка RH, а выпрямляющим элементом будет диод VD.
Когда на анод поступают положительные полупериоды напряжения, происходит открытие диода. В этот период через диод и нагрузку, запитанную от выпрямителя, будет протекать прямой ток диода Iпр. На графике, расположенном справа, эта волна обозначена красным цветом.

При поступлении на анод отрицательных полупериодов напряжения, наступает закрытие диода, и во всей цепи начинается течение незначительного обратного тока. В данном случае отрицательная полуволна переменного тока отсекается диодом. Эту отсеченную полуволну обозначает синяя прерывистая линия. На схеме условное обозначение выпрямительного диода такое же, как обычно, только поверх значка проставляются символы VD.
В результате, через нагрузку, подключенную через диод к сети, будет протекать уже не переменный, а пульсирующий ток одного направления. Фактически, это и есть выпрямленный переменный ток. Однако такое напряжение подходит лишь для нагрузок малой мощности, запитанных от сети переменного тока. Это могут быть лампы накаливания, которым не требуются особые условия питания. В этом случае напряжение будет проходить через лампу лишь во время импульсов – положительных волн. Наблюдается слабое мерцание лампы с частотой 50 Гц.
При подключении питания с таким же напряжением к приемнику или усилителю мощности, в громкоговорителе или колонках, будет слышен гул с низкой тональностью, частотой 50 Гц, известный как фон переменного тока. В этих случаях аппаратура начинает «фонить». Причиной такого состояния считается пульсирующий ток, проходящий через нагрузку и создающий в ней пульсирующее напряжение. Именно оно и создает фон.
Полуволновое трехфазное выпрямление

Так как же работает эта трехфазная полуволновая выпрямительная схема? Анод каждого диода подключен к одной фазе источника напряжения с катодами всех трех диодов, соединенных вместе в одну положительную точку, эффективно создавая схему диода типа «ИЛИ». Эта общая точка становится положительной (+) клеммой нагрузки, в то время как отрицательная (-) клемма нагрузки подключается к нейтрали (N) источника питания.
Предполагая, что чередование фаз красно-желто-синее (V A — V B — V C ) и красная фаза (V A ) начинается при 0 o . Первым проводящим диодом будет диод 1 ( D 1 ), так как он будет иметь более положительное напряжение на своем аноде, чем диоды D 2или D 3 . Таким образом, диод D 1 проводит для положительного полупериода V A, в то время как D 2 и D 3 находятся в их обратном смещенном состоянии. Нейтральный провод обеспечивает обратный путь тока нагрузки к источнику питания.
Через 120 электрических градусов диод 2 (D 2 ) начинает проводить для положительного полупериода V B (желтая фаза). Теперь его анод становится более положительным, чем диоды D 1 и D 3, которые оба «выключены», потому что они смещены в обратном направлении. Аналогичным образом , 120 о дальнейшем V С(синия фаза) начинает возрастать поворачивая «ON» диод 3 (D 3 ) в качестве анода становится более положительным, таким образом, превращая «OFF» диоды D 1 и D 2 .
Затем мы можем видеть, что для трехфазного выпрямления, какой бы диод не имел более положительного напряжения на своем аноде, по сравнению с двумя другими диодами, он автоматически начнет проводить, тем самым давая схему проводимости: D 1 D 2 D 3, как показано.

Из приведенных выше сигналов для резистивной нагрузки видно, что для полуволнового выпрямителя каждый диод пропускает ток в течение одной трети каждого цикла, а выходной сигнал в три раза больше входной частоты источника переменного тока. Следовательно, в данном цикле имеется три пика напряжения, поэтому за счет увеличения количества фаз от однофазного до трехфазного источника улучшается выпрямление источника питания, то есть выходное напряжение постоянного тока становится более плавным.
Для трехфазного полуволнового выпрямителя напряжения питания V A V B и V C сбалансированы, но с разностью фаз 120 o, что дает:
V A = V P * sin (ωt — 0 o )
V B = V P * sin (ωt — 120 o )
V C = V P * sin (ωt — 240 o )
Таким образом, среднее значение постоянного тока формы волны выходного напряжения от трехфазного полуволнового выпрямителя задается как:
Поскольку напряжение обеспечивает пиковое напряжение V P равно V RMS * 1,414, из этого следует, что V P равно V P / 1,414, что дает 0,707 * V P , поэтому среднее выходное напряжение постоянного тока выпрямителя можно выразить через среднеквадратичное фазное напряжение, дающее:

Полупроводниковые схемы
Любой выпрямитель — это схема. Она включает в себя вторичную обмотку трансформатора, выпрямляющий элемент, электрический фильтр и нагрузку. При этом существует возможность получать умножение напряжения. Выпрямленное напряжение — это сумма постоянного и переменного напряжений. Переменная составляющая — это нежелательная компонента, которую уменьшают тем или иным способом. Но поскольку используются полуволны переменного напряжения, иначе быть не может.
Его можно уменьшить двумя способами:
- улучшая эффективность электрического фильтра;
- улучшая параметры выпрямляемого переменного напряжения.
Простейший выпрямитель однополупериодный. Он отсекает одну из полуволн переменного напряжения. Поэтому коэффициент пульсаций в такой схеме получается самым большим. Но если выпрямляется трехфазное напряжение с одним диодом в каждой фазе, а также одним и тем же фильтром, получится в три раза меньший коэффициент пульсаций. Однако наилучшими характеристиками обладают двухполупериодные выпрямители.
Использовать обе полуволны переменного напряжения можно двумя способами:
- по схеме моста;
- по схеме со средней точкой обмотки (схема Миткевича).
Сравним обе эти схемы для одного и того же значения выпрямленного напряжения. В схеме моста используется меньше витков вторичной обмотки трансформатора, что является преимуществом. Но при этом в однофазном выпрямительном мосте необходимы четыре диода. В схеме со средней точкой необходимо в два раза больше витков вторичной обмотки со средней точкой, что является недостатком. Еще один недостаток этой схемы — необходимость симметрии частей обмотки относительно средней точки.
Схема устройства стабилизатора напряжения
Асимметрия будет дополнительным источником пульсаций. Но зато в этой схеме нужны только два диода, что является преимуществом. При выпрямлении на диоде существует напряжение. Его величина почти не изменяется в зависимости от силы тока, протекающего через этот диод. Поэтому мощность, рассеиваемая на полупроводниковом диоде, растет по мере увеличения силы выпрямленного тока.
Это весьма ощутимо при большой силе тока, и поэтому полупроводниковые диоды размещаются на охлаждающих радиаторах и при необходимости обдуваются.
При выпрямлении тока большой силы два диода схемы со средней точкой будут экономичнее и компактнее в сравнении с четырьмя диодами выпрямительного моста. Схемы выпрямителей в свое время не появились из ниоткуда. Их изобрели инженеры. Поэтому схемы выпрямителей в литературе иногда называются в связи с именами своих первооткрывателей. Мостовая схема именуется как «полный мост Гретца». Схема со средней точкой — «выпрямитель Миткевича».
Силовой трансформатор
Это устройство предназначено для согласования напряжений на входе и выходе выпрямительного устройства. Другими словами, трансформатор осуществляет разделение сети нагрузки и сети питания. Существуют всевозможные варианты схем соединения обмоток этого трансформатора, выбор которых зависит от типа схемы выпрямления устройством. На величину выходного напряжения трансформатора U2 влияет величина напряжения на выходе выпрямительного моста Uн.
Трансформатор способен выполнить гальваническую развязку частоты f1 с сетью питания U1, I1, и нагрузочную цепь с Uн, Iн одновременно. В настоящее время появилась возможность проектировать и производить инверторы высокого напряжения, функционирующие на повышенной частоте и выпрямляющие напряжение. Для этого применяются схемы бестрансформаторного выпрямления, в которых блок вентилей подключается сразу к первичной сети питания.
Силовой трансформатор
Диодный мост
Этот блок выполняет основную функцию в устройстве выпрямителя, преобразуя переменный ток в постоянный. В блоке применяются чаще всего элементы в виде диодов. На выходе блока вентилей снимается постоянное напряжение, имеющее повышенный уровень импульсов, который зависит от числа фаз сети питания и схемой выпрямителя.
Диодный мост
Устройство фильтрования
Фильтрующая часть выпрямителя обеспечивает необходимый уровень пульсаций напряжения на выходе выпрямителя в соответствии с предъявляемыми требованиями нагрузки. В схеме фильтрующего устройства применяются сглаживающий дроссель или сопротивление, подключенные последовательно, и конденсаторы, подключенные параллельно выходу питания.
Однако чаще всего фильтры выполняют по схемам несколько сложнее. В маломощных выпрямителях нет необходимости в применении дросселя и резистора. В схемах выпрямителей для трехфазной сети величина импульсов меньше, тем самым становятся легче условия функционирования фильтра.
Основные соотношения для выпрямителя
Выведем некоторые важные формулы, которые описывают процессы, существующие в этой схеме. Будем считать, что заданными величинами являются средние значения напряжения на нагрузку Ud и среднее значение тока в нем Id.

Запомним это выражение на дальнейшее. В нашем случае m=2 и . Поскольку Ud считаем заданным, то
Из предыдущего выражения имеем:
Этот коэффициент определяет отношения питающей сети к напряжению на обмотке вторичной стороны:
Действующее значение тока вторичной обмотки
Ток вторичной обмотки в то же время есть током в нагрузке. Поскольку нагрузка чисто активная и ток в ней повторяет по форме пульсирующее напряжение, то между его средним значением и его действующим значением существует такая же зависимость, что и для напряжений, то есть
Ток в первичной обмотке повторяет с учетом n ток вторичной обмотки :
Мощности первичной и вторичной сторон трансформатора в этой схеме одинаковые, поэтому:
![]()
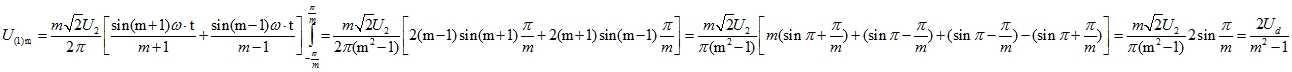
Пульсация выпрямленного напряжения
Пульсирующее напряжение состоит из среднего значения Ud и бесконечного количества гармоничных составляющих, амплитуды которых можно определить по формулам Фурье. Если начало координат выбрать так как на рисунке, то в гармоничном составе будут присутствовать только косинусные гармоники (т.к. кривая симметрична относительна оси координат). Амплитуда k-ой гармоники определяется по формуле:
Где: l – полупериод π/m;
Наибольшую амплитуду будет иметь первая гармоника U(1)m, поэтому определим только ее, предположив, что k=1:
Заменив
получим:
![]()
Отношение первой гармоники к среднему значению называют коэффициентом пульсаций:
Запомним эту формулу на будущее, а сейчас отметим, что в нашем случае при m – 2, q – 2/3. Это большие пульсации – амплитуда первой гармоники составляет 67% от среднего значения выпрямленного напряжения.
Средний ток диодов
Как мы уже видели диоды работают по очереди – каждый из них проводит в среднем половину общего тока , который есть в нагрузке. Поэтому каждый из диодов должен быть рассчитан на ток Iв = Id/2
Наибольшее обратное напряжение на диоде
В то время когда диод B1 проводит его можно считать замкнутым, и тогда к диоду B2 будет приложено в обратном направлении напряжение вторичной обмотки. Поэтому каждый из диодов должен быть рассчитан на ее амплитудное значение:
Сравнение однофазных и трехфазных устройств
При сравнении трехфазных схем выпрямления со однофазными аналогами важно отметить следующие моменты:
- первые используются только в силовых сетях 380 Вольт, а вторую разновидность допускается устанавливать и в однофазные и в трехфазные цепи (по одному на каждую из фаз);
- выпрямители 380 Вольт позволяют преобразовывать большую мощность и развивать значительные токи в нагрузке;
- с другой стороны самостоятельно сделать трехфазный выпрямитель несколько труднее, поскольку он состоит из большего числа комплектующих изделий.
Расчет трехфазного выпрямителя также будет сложнее, так как в этом случае учитываются векторные составляющие действующих токов и напряжений. Это объясняется тем, что в цепях 380 Вольт фазные параметры смещены относительно друга на 120 градусов.
Однопериодные модификации
Однопериодные выпрямители тока производятся для различных ресиверов. Отличительной чертой элементов принято считать высокий параметр проводимости тока. Работают устройства от обратной полярности. Выпускаются модели на два и три канала
Если рассматривать первый вариант, то важно отметить, что проводники используются с обкладкой. В данном случае расширители устанавливаются редко
Параметр проводимости тока у выпрямителей колеблется в районе 3 мк.
Если говорить про устройства на три канала, то они всегда выпускаются с тетродами. Также схема модификации подразумевает использование модуляторов. Для низкочастотных ресиверов указанные выпрямители подходят идеально. В данном случае чувствительность составляет не более 60 мВ.
Устройство, из чего состоит

Сварочный выпрямитель Telwin LINEAR 410 S
Сварочный выпрямитель состоит из следующих узлов и блоков:
- силовой трансформатор. По устройству и принципу действия он схож с трансформатором для сварки на переменном токе;
-
выпрямительный блок на полупроводниковых приборах. Для преобразования переменного тока в постоянный используются полупроводниковые элементы:
- неуправляемые вентили — кремниевые диоды;
- управляемые вентили — тиристоры;
- пусковое устройство. Автомат с опцией отключения от сети в случае выхода из строя выпрямителя;
- панель управления с органами регулировки и измерительными приборами;
- блок защиты от токовых перегрузок и перегрева. Предотвращает выход из строя выпрямителя в случае ошибок сварщика;
- система охлаждения. В неё входят радиаторы охлаждения вентилей и вентилятор. Для создания оптимального температурного режима в корпусе выпрямителя, вентилятор запускается на короткое время при его включении.
Целесообразно применять трехфазный выпрямитель, т. е. укомплектованный трёхфазным трансформатором. В этом случае будет значительно ниже пульсация выпрямленного напряжения, что повышает КПД сварочного устройства и улучшает качество сварного шва.
Технические характеристики
| Наименование параметра | Значение параметра |
| Номинальное напряжение сети (Uн), В | 380±20% |
| Частота сети, Гц | 50±2 |
| Количество фаз | 3 |
| Номинальный ток (Iн), А | 12,5, 25, 40 типоразмер 1
63, 100, 160, 200, 250 типоразмер 2 315, 630 по отдельному заказу |
| Диапазон регулирования выходного напряжения, В | 0…Uн |
| Диапазон регулирования тока, А | 0…Iн |
| Погрешность измерения среднеквадратичного значения тока, % | ±3% |
| Аналоговые входы | 3 |
| Сигнал управления на аналоговом входе (по выбору): | 0…20 мА (Rвх = 250 ом)
0…+ 5В (Rвх > 100 кOм) 0…+ 10 В (Rвх > 5 кOм) |
| Аналоговые выходы | 3 неизолированных токовых выхода
0…20 мА (Rн |
| Дискретные входы | неизолированные, 3 |
| Напряжение управления дискретных входов, В | 0…+ 12(+ 24) В |
| Входное сопротивление дискретного входа, не менее, кОм | 4,7 |
| Два релейных дискретных выхода | «РАБОТА»
«ОТКАЗ» |
| Нагрузочная способность дискретного выхода | 2 А, 220 В |
| Коммуникационный интерфейс | Изолированный (Uиз. = 1000 В) RS-485-
протокол MODBUS RTU- скорости 2400, 4800, 9600, 19200, 38400, 57600, 115200- нагрузочная способность — 128 устройств |
| Степень защиты от внешних воздействий | IР22 |
| Рабочее положение | вертикальное ±15° |
| Охлаждение | воздушное, принудительное |


















































